Эталоны решения задач. Тема. Скорость химических реакций Как изменится скорость реакции 2а г в
Скорость химических реакций Раздел химии, изучающий скорость и механизм химических реакций, называется химической кинетикой. Скорость химической реакции - это количество элементарных актов взаимодействия в единицу времени в единице реакционного пространства. Это определение справедливо как для гомогенных, так и для гетерогенных процессов. В первом случае реакционным пространством является объем реакционного сосуда, а во втором - по-верхностьу на которой протекает реакция. Так как при взаимодействии изменяются концентрации реагентов или продуктов реакции в единицу времени. При этом нет необходимости следить за изменением концентрации всех веществ, участвующих в реакции, поскольку стехиомет-рическое уравнение ее устанавливает соотношение между концентрациями реагентов. Концентрацию реагирующих веществ чаще всего выражают количеством молей в 1 литре (моль/л). Скорость химической реакции зависит от природы реагирующих веществ, концентрации, температуры, величины поверхности соприкосновения веществ, присутствия катализаторов и других. , и говорят о мономолекулярной реакции; когда в элементарном акте происходит соударение двух разных молекул, зависимость имеет следующий вид: и - к[А][В], и говорят о бимолекулярной реакции; когда в элементарном акте происходит соударение трех молекул, для зависимости скорости от концентрации справедливо: v - к[А] [В] [С], и говорят о тримолекулярной реакции. Во всех разобранных зависимостях: v- скорость реакции; [А], [В], [С] - концентрации реагирующих веществ; к - коэффициент пропорциональности; называемый константой скорости реакции. v = к, когда концентрации реагирующих веществ или их произведение равны единице. Константа скорости зависит от природы реагирующих веществ и от температуры. Зависимость скорости простых реакций (т. е. реакций, протекающих через один элементарный акт) от концентрации описывается законом действующих масс, установленным К. Гульдбергом и П. Вааге в 1867 г.: скорость химической реакции прямо пропорциональна произведению концентрации реагирующих веществ, возведенных в степень их стехиометрических коэффициентов. Например, для реакции 2NO + 02 = 2N02; v - k2 и возрастет в три раза Найти: Решение: 1) Записываем уравнение реакции: 2СО + 02 = 2С02. Согласно закону действующих масс v - к[С0]2. 2) Обозначим [СО] = а; = Ь, тогда: v = к а2 Ь. 3) При повышении концентрации исходных веществ в 3 раза получим: [СО] = За, а = ЗЬ. 4) Рассчитываем скорость реакции и1: - k9a23b - к27а% a if к27 Д2Ь 27 v к а2Ь Ответ: в 27 раз. Пример 3 Во сколько раз возрастет скорость химической реакции при повышении температуры на 40 °С, если температурный коэффициент скорости реакции ра вен 3? Дано: At = 40 °С Y - 3 Найти: 2 Решение: 1) Согласно правилу Вант-Гоффа: h-U vt2 = vh у 10 , 40 и, - vt > 3 10 - vt -81. 2 1 1 Ответ: в 81 раз. а Пример 4 Реакция между веществами А и В протекает по схеме 2А + В *» С. Концентрация вещества А равна 10 моль/л, а вещества В - б моль/л. Константа скорости реакции равна 0,8 л2 4 моль"2 сек"1. Вычислить скорость химической реакции в начальный момент, а также в момент, когда в реакционной смеси останется 60 % вещества В. Дано: к - 0,8 л2 моль"2 сек"1 [A] =10 моль/л [B] = 6 моль/л Найти: "нач! ^ Решение: 1) Находим скорость реакции в начальный момент: v - к[А]2 [В], г> = 0,8 102 б - 480 моль - л сек"1. нач 2) По истечении некоторого времени в реакционной смеси останется 60 % вещества В. Тогда: Следовательно, [В] уменьшилась на: 6 - 3,6 = 2,4 моль/л. 3) Из уравнения реакции следует, что вещества А и В взаимодействуют между собой в отношении 2:1, поэтому [А] уменьшилась на 4,8 моль/л и стала равной: [А] = 10 - 4,8 = 5,2 моль/л. 4) Рассчитываем if: г} = 0,8 * 5,22 3,6 = 77,9 моль л"1 * сек"1. Ответ: г>нач ~ 480 моль л сек"1, г/ = 77,9 моль л-1 сек"1. Пример 5 Реакция при температуре 30 °С протекает за 2 минуты. За сколько времени закончится эта реакция при температуре 60 °С, если в данном температурном интервале температурный коэффициент скорости реакции равен 2? Дано: t1 = 30 °С t2 = 60 °С 7 = 2 т = 2 мин = 120 сек Найти: ч Решение: 1) В соответствии с правилом Вант-Гоффа: vt - = у ю 1 vt - = 23 = 8. Vt 2) Скорость реакции обратно пропорциональна времени реакции, следовательно: Ответ: т=15сек. Вопросы и задачи для самостоятельного решения 1. Дайте определение скорости реакции. Приведите примеры реакций, идущих с различными скоростями. 2. Выражение для истинной скорости химической реакции, протекающей при постоянном объеме системы, записывается следующим образом: dC v = ±--. d t Укажите, в каких случаях необходим положительный, а в каких - отрицательный знаки в правой части выражения. 3. От каких факторов зависит скорость химической реакции? 4. Что называется энергией активации? Влияние какого фактора на скорость химической реакции она характеризует? 5. Чем объясняется сильное увеличение скорости реакции при росте температуры? 6. Дайте определение основному закону химической кинетики - закону действующих масс. Кем и когда он был сформулирован? 7. Что называется константой скорости химической реакции и от каких факторов она зависит? 8. Что такое катализатор и как он влияет на скорость химической реакции? 9. Приведите примеры процессов, в которых используются ингибиторы. 10. Что такое промоторы и где они применяются? 11. Какие вещества называют «каталитическими ядами»? Приведите примеры таких веществ. 12. Что такое гомогенный и гетерогенный катализ? Приведите примеры процессов с применением их каталитических процессов. 13. Как изменится скорость реакции 2С0 + 02 = 2С02, если уменьшить объем газовой смеси в 2 раза? 14. Во сколько раз возрастет скорость химической реакции при повышении температуры с 10 °С до 40 °С, если известно, что с повышением температуры на 10 °С скорость реакции возрастет в 2 раза? 15. Скорость реакции А + В = С при повышении температуры на каждые 10 °С увеличивается в три раза. Во сколько раз увеличится скорость реакции при повышении температуры на 50 °С? 16. Во сколько раз возрастет скорость реакции взаимодействия водорода и брома, если концентрации исходных веществ увеличить в 4 раза? 17. Во сколько раз возрастет скорость реакции при повышении температуры на 40 °С (у = 2)? 18. Как изменится скорость реакции 2NO + 02 ^ 2N02, если давление в системе увеличить в два раза? 19. Во сколько раз следует увеличить концентрацию водорода в системе N2 + 3H2^ 2NH3, чтобы скорость реакции возросла в 125 раз? 20. Реакция между оксидом азота (II) и хлором протекает по уравнению 2NO + С12 2NOC1; как изменится скорость реакции при увеличении: а) концентрации оксида азота в два раза; б) концентрации хлора в два раза; в) концентрации обоих веществ в два раза? . 21. При 150 °С некоторая реакция заканчивается за 16 минут. Принимая температурный коэффициент равным 2,5, рассчитайте, через какой период времени закончится эта же реакция при 80 °С. 22. На сколько градусов надо увеличить температуру, чтобы скорость реакции возросла в 32 раза. Температурный коэффициент скорости реакции равен 2. 23. При 30 °С реакция протекает за 3 минуты. За сколько времени будет протекать эта же реакция при 50 °С, если температурный коэффициент скорости реакции равен 3. 24. При температуре 40 °С реакция протекает за 36 мин, а при 60 °С - за 4 мин. Рассчитайте температурный коэффициент скорости реакции. 25. Скорость реакции при 10 °С равна 2 моль/л. Вычислите скорость этой реакции при 50 °С, если температурный коэффициент скорости реакции равен 2.
1. Основные понятия и постулаты химической кинетики
Химическая кинетика - раздел физической химии, изучающий скорости химических реакций. Основные задачи химической кинетики: 1) расчет скоростей реакций и определение кинетических кривых, т.е. зависимости концентраций реагирующих веществ от времени (прямая задача ); 2) определение механизмов реакций по кинетическим кривым (обратная задача ).
Скорость химической реакции описывает изменение концентраций реагирующих веществ в единицу времени. Для реакции
a A + b B + ...d D + e E + ...
скорость реакции определяется следующим образом:
где квадратные скобки обозначают концентрацию вещества (обычно измеряется в моль/л), t - время; a , b , d , e - стехиометрические коэффициенты в уравнении реакции.
Скорость реакции зависит от природы реагирующих веществ, их концентрации, температуры и наличия катализатора. Зависимость скорости реакции от концентрации описывается основным постулатом химической кинетики - законом действующих масс :
Скорость химической реакции в каждый момент времени пропорциональна текущим концентрациям реагирующих веществ, возведенным в некоторые степени:
,
где k - константа скорости (не зависящая от концентрации); x , y - некоторые числа, которые называют порядком реакции по веществам A и B, соответственно. Эти числа в общем случае никак не связаны с коэффициентами a и b в уравнении реакции. Сумма показателей степеней x + y называется общим порядком реакции . Порядок реакции может быть положительным или отрицательным, целым или дробным.
Большинство химических реакций состоит из нескольких стадий, называемых элементарными реакциями . Под элементарной реакцией обычно понимают единичный акт образования или разрыва химической связи, протекающий через образование переходного комплекса. Число частиц, участвующих в элементарной реакции, называют молекулярностью реакции. Элементарные реакции бывают только трех типов: мономолекулярные (A B + ...), бимолекулярные (A + B D + ...) и тримолекулярные (2A + B D + ...). Для элементарных реакций общий порядок равен молекулярности, а порядки по веществам равны коэффициентам в уравнении реакции.
ПРИМЕРЫ
Пример 1-1. Скорость образования NO в реакции 2NOBr (г) 2NO (г) + Br 2(г) равна 1.6 . 10 -4 моль/(л. с). Чему равна скорость реакции и скорость расходования NOBr?
Решение . По определению, скорость реакции равна:
Моль/(л. с).
Из этого же определения следует, что скорость расходования NOBr равна скорости образования NO с обратным знаком:
моль/(л. с).
Пример 1-2. В реакции 2-го порядка A + B D начальные концентрации веществ A и B равны, соответственно, 2.0 моль/л и 3.0 моль/л. Скорость реакции равна 1.2 . 10 -3 моль/(л. с) при [A] = 1.5 моль/л. Рассчитайте константу скорости и скорость реакции при [B] = 1.5 моль/л.
Решение . По закону действующих масс, в любой момент времени скорость реакции равна:
.
К моменту времени, когда [A] = 1.5 моль/л, прореагировало по 0.5 моль/л веществ A и B, поэтому [B] = 3 – 0.5 = 2.5 моль/л. Константа скорости равна:
Л/(моль. с).
К моменту времени, когда [B] = 1.5 моль/л, прореагировало по 1.5 моль/л веществ A и B, поэтому [A] = 2 – 1.5 = 0.5 моль/л. Скорость реакции равна:
Моль/(л. с).
ЗАДАЧИ
1-1. Как выражается скорость реакции синтеза аммиака 1/2 N 2 + 3/2 H 2 = NH 3 через концентрации азота и водорода? (ответ)
1-2. Как изменится скорость реакции синтеза аммиака 1/2 N 2 + 3/2 H 2 = NH 3 , если уравнение реакции записать в виде N 2 + 3H 2 = 2NH 3 ? (ответ)
1-3. Чему равен порядок элементарных реакций: а) Сl + H 2 = HCl + H; б) 2NO + Cl 2 = 2NOCl? (ответ)
1-4. Какие из перечисленных величин могут принимать а) отрицательные; б) дробные значения: скорость реакции, порядок реакции, молекулярность реакции, константа скорости, стехиометрический коэффициент? (ответ)
1-5. Зависит ли скорость реакции от концентрации продуктов реакции? (ответ)
1-6. Во сколько раз увеличится скорость газофазной элементарной реакции A = 2D при увеличении давления в 3 раза?(ответ)
1-7. Определите порядок реакции, если константа скорости имеет размерность л 2 /(моль 2 . с). (ответ)
1-8. Константа скорости газовой реакции 2-го порядка при 25 о С равна 10 3 л/(моль. с). Чему равна эта константа, если кинетическое уравнение выражено через давление в атмосферах?(ответ)
1-9. Для газофазной реакции n -го порядка nA B выразите скорость образования B через суммарное давление.(ответ)
1-10. Константы скорости прямой и обратной реакции равны 2.2 и 3.8 л/(моль. с). По какому из перечисленных ниже механизмов могут протекать эти реакции: а) A + B = D; б) A + B = 2D; в) A = B + D; г) 2A = B.(ответ)
1-11. Реакция разложения 2HI H 2 + I 2 имеет 2-й порядок с константой скорости k = 5.95 . 10 -6 л/(моль. с). Вычислите скорость реакции при давлении 1 атм и температуре 600 К. (ответ)
1-12. Скорость реакции 2-го порядка A + B D равна 2.7 . 10 -7 моль/(л. с) при концентрациях веществ A и B, соответственно, 3.0 . 10 -3 моль/л и 2.0 моль/л. Рассчитайте константу скорости.(ответ)
1-13. В реакции 2-го порядка A + B 2D начальные концентрации веществ A и B равны по 1.5 моль/л. Скорость реакции равна 2.0 . 10 -4 моль/(л. с) при [A] = 1.0 моль/л. Рассчитайте константу скорости и скорость реакции при [B] = 0.2 моль/л. (ответ)
1-14. В реакции 2-го порядка A + B 2D начальные концентрации веществ A и B равны, соответственно, 0.5 и 2.5 моль/л. Во сколько раз скорость реакции при [A] = 0.1 моль/л меньше начальной скорости? (ответ)
1-15. Скорость газофазной реакции описывается уравнением w = k . [A] 2 . [B]. При каком соотношении между концентрациями А и В начальная скорость реакции будет максимальна при фиксированном суммарном давлении? (ответ)
2. Кинетика простых реакций
В данном разделе мы составим на основе закона действующих масс и решим кинетические уравнения для необратимых реакций целого порядка.
Реакции 0-го порядка. Скорость этих реакций не зависит от концентрации:
,
где [A] - концентрация исходного вещества. Нулевой порядок встречается в гетерогенных и фотохимических реакциях.
Реакции 1-го порядка. В реакциях типа A B скорость прямо пропорциональна концентрации:
.
При решении кинетических уравнений часто используют следующие обозначения: начальная концентрация [A] 0 = a , текущая концентрация [A] = a - x (t ), где x (t ) - концентрация прореагировавшего вещества A. В этих обозначениях кинетическое уравнение для реакции 1-го порядка и его решение имеют вид:
Решение кинетического уравнения записывают и в другом виде, удобном для анализа порядка реакции:
.
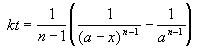
Время, за которое распадается половина вещества A, называют периодом полураспада t 1/2 . Он определяется уравнением x (t 1/2) = a /2 и равен
Реакции 2-го порядка. В реакциях типа A + B D + ... скорость прямо пропорциональна произведению концентраций:
.
Начальные концентрации веществ: [A] 0 = a , [B] 0 = b ; текущие концентрации: [A] = a - x (t ), [B] = b - x (t ).
При решении этого уравнения различают два случая.
1) одинаковые начальные концентрации веществ A и B: a = b . Кинетическое уравнение имеет вид:
.
Решение этого уравнения записывают в различных формах:
Период полураспада веществ A и B одинаков и равен:
2) Начальные концентрации веществ A и B различны: a
b
. Кинетическое
уравнение имеет вид:
.
Решение этого уравнения можно записать следующим образом:
Периоды полураспада веществ A и B различны:
.
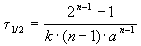
Реакции n-го порядка n A D + ... Кинетическое уравнение имеет вид:
.
Решение кинетического уравнения:
. (2.1)
Период полураспада вещества A обратно пропорционален (n -1)-й степени начальной концентрации:
. (2.2)
Пример 2-1.
Период полураспада
радиоактивного изотопа 14 C - 5730 лет. При
археологических раскопках было найдено дерево,
содержание 14 C в котором составляет 72% от
нормального. Каков возраст дерева?
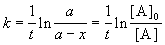
Решение.
Радиоактивный распад - реакция 1-го
порядка. Константа скорости равна:
Время жизни дерева можно найти из решения кинетического уравнения с учетом того, что [A] = 0.72 . [A] 0:
Пример 2-2.
Установлено, что реакция 2-го
порядка (один реагент) завершается на 75% за 92 мин
при исходной концентрации реагента 0.24 М. Какое
время потребуется, чтобы при тех же условиях
концентрация реагента достигла 0.16 М?
Решение.
Запишем два раза решение
кинетического уравнения для реакции 2-го порядка
с одним реагентом:
,
где, по условию, a = 0.24 M, t 1 = 92 мин, x 1 = 0.75 . 0.24 = 0.18 M, x 2 = 0.24 - 0.16 = 0.08 M. Поделим одно уравнение на другое:
Пример 2-3.
Для элементарной реакции n
A B обозначим
период полураспада A через t 1/2 , а время
распада A на 75% - через t 3/4 . Докажите, что
отношение t 3/4 / t 1/2 не зависит от
начальной концентрации, а определяется только
порядком реакции n
.Решение.
Запишем два раза решение
кинетического уравнения для реакции n
-го
порядка с одним реагентом:
и поделим одно выражение на другое. Постоянные величины k и a из обоих выражений сократятся, и мы получим:
.
Этот результат можно обобщить, доказав, что отношение времен, за которые степень превращения составит a и b , зависит только от порядка реакции:
.
ЗАДАЧИ
2-1. Пользуясь решением кинетического уравнения, докажите, что для реакций 1-го порядка время t x , за которое степень превращения исходного вещества достигает x , не зависит от начальной концентрации. (ответ)2-2. Реакция первого порядка протекает на 30% за 7 мин. Через какое время реакция завершится на 99%? (ответ)
2-3. Период полураспада радиоактивного изотопа 137 Cs, который попал в атмосферу в результате Чернобыльской аварии, - 29.7 лет. Через какое время количество этого изотопа составит менее 1% от исходного? (ответ)
2-4. Период полураспада радиоактивного изотопа 90 Sr, который попадает в атмосферу при ядерных испытаниях, - 28.1 лет. Предположим, что организм новорожденного ребенка поглотил 1.00 мг этого изотопа. Сколько стронция останется в организме через а) 18 лет, б) 70 лет, если считать, что он не выводится из организма?(ответ)
2-5. Константа скорости для реакции первого порядка SO 2 Cl 2 = SO 2 + Cl 2 равна 2.2 . 10 -5 с -1 при 320 о С. Какой процент SO 2 Cl 2 разложится при выдерживании его в течение 2 ч при этой температуре?(ответ)
2-6. Константа скорости реакции 1-го порядка
2N 2 O 5(г) 4NO 2(г) + O 2(г)
при 25 о С равна 3.38 . 10 -5 с -1 . Чему равен период полураспада N 2 O 5 ? Чему будет равно давление в системе через а) 10 с, б) 10 мин, если начальное давление было равно 500 мм рт. ст. (ответ)
2-7. Реакцию первого порядка проводят с различными количествами исходного вещества. Пересекутся ли в одной точке на оси абсцисс касательные к начальным участкам кинетических кривых? Ответ поясните.(ответ)
2-8. Реакция первого порядка A 2B протекает в газовой фазе. Начальное давление равно p 0 (B отсутствует). Найдите зависимость общего давления от времени. Через какое время давление увеличится в 1.5 раза по сравнению с первоначальным? Какова степень протекания реакции к этому времени? (ответ)
2-9. Реакция второго порядка 2A B протекает в газовой фазе. Начальное давление равно p 0 (B отсутствует). Найдите зависимость общего давления от времени. Через какое время давление уменьшится в 1.5 раза по сравнению с первоначальным? Какова степень протекания реакции к этому времени? (ответ)
2-10. Вещество A смешали с веществами B и C в равных концентрациях 1 моль/л. Через 1000 с осталось 50% вещества А. Сколько вещества А останется через 2000 с, если реакция имеет: а) нулевой, б) первый, в) второй, в) третий общий порядок?(ответ)
2-11. Какая из реакций - первого, второго или третьего порядка - закончится быстрее, если начальные концентрации веществ равны 1 моль/л и все константы скорости, выраженные через моль/л и с, равны 1? (ответ)
2-12. Реакция
CH 3 CH 2 NO 2 + OH - H 2 O + CH 3 CHNO 2 -
имеет второй порядок и константу скорости k = 39.1 л/(моль. мин) при 0 о С. Был приготовлен раствор, содержащий 0.004 М нитроэтана и 0.005 М NaOH. Через какое время прореагирует 90% нитроэтана?
2-13. Константа скорости рекомбинации ионов H + и ФГ - (фенилглиоксинат) в молекулу НФГ при 298 К равна k = 10 11.59 л/(моль. с). Рассчитайте время, в течение которого реакция прошла на 99.999%, если исходные концентрации обоих ионов равны 0.001 моль/л. (ответ)
2-14. Скорость окисления бутанола-1 хлорноватистой кислотой не зависит от концентрации спирта и пропорциональна 2 . За какое время реакция окисления при 298 К пройдет на 90%, если исходный раствор содержал 0.1 моль/л HClO и 1 моль/л спирта? Константа скорости реакции равна k = 24 л/(моль. мин). (ответ)
2-15. При определенной температуре 0.01 М раствор этилацетата омыляется 0.002 М раствором NaOH на 10% за 23 мин. Через сколько минут он будет омылен до такой же степени 0.005 М раствором KOH? Считайте, что данная реакция имеет второй порядок, а щелочи диссоциированы полностью.(ответ)
2-16. Реакция второго порядка A + B P проводится в растворе с начальными концентрациями [A] 0 = 0.050 моль/л и [B] 0 = 0.080 моль/л. Через 1 ч концентрация вещества А уменьшилась до 0.020 моль/л. Рассчитайте константу скорости и периоды полураспада обоих веществ.
1. В сосуде смешали газ А количеством вещества 4,5 моль и газ В количеством вещества 3 моль. Газы А и В реагируют в соответствии с уравнением А + В = С. Через некоторое время в системе образовался газ С количеством вещества 2 моль. Какие количества непрореагировавших газов А и В остались в системе?
Из уравнения реакции следует, что:
Dn(A) = Dn(B) = Dn(C) = 2 моль,
где Dn ‑ изменение количества вещества в ходе реакции.
Следовательно, в сосуде осталось:
n 2 (A) = n 1 (А) - Dn(A); n 2 (A) = (4,5 - 2) моль = 2,5 моль;
n 2 (B) = n 1 (B) - Dn(B); n 2 (B) = (3 - 2) моль = 1 моль.
2. Реакция протекает по уравнению: 2A + B ⇄ C и имеет второй порядок по веществу А и первый по веществу B. В начальный момент времени скорость реакции равна 15 моль/л×с. Рассчитать константу скорости и скорость прямой реакции в тот момент, когда прореагирует 50% вещества B, если начальные концентрации равны: С(A) = 10 моль/л; С(B) = 5 моль/л. Как изменится скорость химической реакции?

С(B), вступившего в реакцию, равна:
С(B) = 0,5·5 = 2,5 моль/л.
Соответственно С(A), вступившего в реакцию, равна:
2 моль/л A - 1 моль/л B
С(A) - 2,5 моль/л B
![]()
С(A) и С(B) после протекания реакции:
С(A) = 10 - 5 = 5 моль/л,
С(B) = 5 - 2,5 = 2,5 моль/л.
Скорость прямой реакции будет равна:
Скорость химической реакции изменится:

т. е. уменьшится в 8 раз.
3. Реакция между веществами А и В выражается уравнением: А + 2В = С и имеет первый порядок по веществу А и второй по веществу B. Начальные концентрации веществ равны: С(А) = 2 моль/л; С(В) = 4 моль/л; константа скорости равна 1,0. Найти начальную скорость реакции и скорость по истечении некоторого времени, когда концентрация вещества А уменьшится на 0,3 моль/л.
Согласно закону действующих масс:
Если концентрация вещества А уменьшится на 0,3 моль/л, то концентрация вещества В уменьшится на 0,3×2 = 0,6 моль/л. После протекания реакции концентрации равны:
4. Скорости прямой и обратной газофазных реакций, протекающих в замкнутом сосуде, выражаются уравнениями:
![]()
![]()
Согласно закону действующих масс, скорости прямой и обратной реакций при начальных условиях равны:
Увеличение давления в 3 раза для газообразных систем приводит к уменьшению объема газовой смеси в 3 раза, во столько же раз увеличатся концентрации всех трех газов, и скорости обеих реакций станут соответственно равны:
Отношения скоростей реакций составляют:


Таким образом, скорость прямой реакции увеличится в 27 раз, обратной - в 9.
5. Реакция при температуре 50 0 С протекает за 2 мин 15 с. За какое время закончится эта реакция при температуре 70 0 С, если в данном температурном интервале температурный коэффициент скорости gравен 3?
При увеличении температуры от 50 до 70 0 С скорость реакции в соответствии с правилом Вант-Гоффа возрастает:
где = 70 0 С, = 50 0 С, a и - скорости реакции при данных температурах.
Получаем:

т.е. скорость реакции увеличивается в 9 раз.
В соответствии с определением, время реакции обратно пропорционально скорости протекания реакции, следовательно:
где и - время реакции при температурах и .
Отсюда получаем:

Учитывая, что = 135 с (2 мин 15 с), определяем время реакции при температуре :
![]()
6. Во сколько раз увеличится скорость химической реакции при повышении температуры от = 10 0 C до = 80 0 С, если температурный коэффициент скорости g равен 2?
Из правила Вант-Гоффа:

Скорость реакции увеличится в 128 раз.
7. При изучении кинетики выведения лекарственного препарата из организма больного было установлено, что за 3 часа в организме пациента осталось 50% от исходного количества лекарственного средства. Определить период полувыведения и константу скорости реакции выведения препарата из организма человека, если известно, что это реакция первого порядка.
Так как за данный промежуток времени из организма было выведено 50% препарата, то t 1/2 = 3 часа. Константу скорости реакции рассчитаем из уравнения:

8. При лабораторных исследованиях водных растворов лекарственного средства было установлено, что вследствие гидролиза концентрация препарата за сутки уменьшилась от 0,05 моль/л до 0,03 моль/л. Вычислить период полупревращения реакции гидролиза препарата.
Так как реакции гидролиза обычно протекают при значительном избытке воды, то ее концентрацию можно постоянной. Следовательно, в ходе реакции изменяется только концентрация препарата и реакцию гидролиза можно считать реакцией первого порядка.
Значение константы скорости реакции найдем из уравнения:

9. Период полувыведения препарата из организма больного (реакция первого порядка) равен 5 часам. Определить время, за которое из организма будет выведено 75% препарата.
При выведении из организма 75% препарата отношение С/С 0 составит 0,25. В данном случае удобно воспользоваться формулой:


,
10. Константа скорости реакции гидролиза сахарозы равна 2,31×10 - 3 ч - 1 . Рассчитать:
1) период полупревращения реакции;
2) время, за которое гидролизу подвергнется 20% сахарозы;
3) какая часть глюкозы подвергнется гидролизу через 5 суток.
1. Период полупревращения равен:

2. После того, как гидролизу подвергнется 20% сахарозы, отношение С/С 0 составит 0,8. Следовательно:
3. Через 5 суток (120 часов) отношение С/С 0 составит:

Следовательно, гидролизу подверглось 24% глюкозы.
11. В ходе некоторой реакции первого порядка за 30 мин превращению подвергается 60% исходного количества вещества. Определить, какая часть вещества останется через 1 час.
1. Через 30 минут количество оставшегося вещества составит:
С 1 = С 0 - 0,6С 0 = 0,4×С 0 .
т.е., отношение С 0 /С 1 равно 2,5.
2. Найдем константу скорости реакции:
3. Количество вещества С 2 , оставшееся через 1 час, определим по формуле:
Таким образом, через 1 час останется 16% от исходного вещества.
Вопросы для самоконтроля
1. Что называется скоростью химической реакции?
2. Что называется истинной скоростью гомогенной реакции?
3. Какова размерность скорости гомогенной реакции?
4. Что называется скоростью гетерогенной реакции?
5. Какова размерность скорости гетерогенной реакции?
6. Перечислите факторы, влияющие на скорость реакции.
7. Сформулируйте закон действующих масс.
8. Каков физический смысл константы скорости реакции? От чего зависит и от чего не зависит константа скорости реакции?
9. Что называется порядком реакции? Приведите примеры уравнений реакций нулевого, первого, второго и третьего порядков.
10. Зависит ли размерность константы скорости реакции от порядка реакции?
11. Что называется молекулярностью реакции?
13. Дайте определение простым и сложным реакциям. Приведите классификацию сложных реакций.
14. Сформулируйте правило Вант-Гоффа. Приведите математическое выражение правила Вант-Гоффа.
15. Как скорость реакции зависит от энергии активации? Напишите уравнение Аррениуса.
16. Что такое активированный комплекс? Почему протекание реакций протекает через стадии образования активированных комплексов?
17. Что называется катализатором? Гомогенный и гетерогенный катализ. Почему в присутствии катализаторов реакции протекают быстрее?
18. Что такое ферментативный катализ? Напишите уравнение Михаэлиса-Ментен.
Варианты задач для самостоятельного решения
Вариант № 1
1. Реакция между веществами А и В выражается уравнением 2А + В = С и имеет второй порядок по веществу А и первый по веществу B. Начальные концентрации веществ равны: С 0 (А) = 0,4 моль/л; С 0 (В) = 0,8 моль/л; k = 0,6. Найти начальную скорость реакции и скорость по истечении некоторого времени, когда концентрация вещества А уменьшится на 0,2 моль/л.
2. На сколько градусов необходимо повысить температуру, чтобы скорость реакции увеличилась в 64 раза? Температурный коэффициент скорости реакции gравен 2.
а) при увеличении давления в системе в 2 раза?
б) при увеличении объемов газов в 2 раза?
Вариант №2
1. Реакция протекает по уравнению: A + B = C и имеет первый порядок по веществу А и по веществу B. Концентрацию A увеличили с 2 до 8 моль/л, а концентрацию B с 3 до 9 моль/л. Во сколько раз возросла скорость прямой реакции?
2. При 150 0 С реакция заканчивается за 10 минут. Принимая температурный коэффициент gравным 2, рассчитайте, через сколько минут закончилась бы реакция при 170 0 C.
3. Скорость реакции выражается уравнением:
Во сколько раз изменится скорость реакции при увеличении концентрации исходных веществ в 3 раза?
Вариант №3
1. Реакция выражается уравнением: A + B = C и имеет первый порядок по веществу А и по веществу B. При начальных концентрациях С 0 (A) = 3 моль/л и С 0 (B) = 5 моль/л скорость прямой реакции равна 0,3 моль/л×с. Определить константу скорости и скорость реакции через некоторое время, когда концентрация A уменьшится на 2 моль/л.
2. Во сколько раз увеличится скорость химической реакции при повышении температуры от 10 до 70 0 С, если температурный коэффициент скорости gравен 2?
3. Скорость реакции A (тв) + 2B (газ) = C (тв) выражается уравнением:
Как изменится скорость реакции, если концентрацию B увеличить в 2 раза?
Вариант №4
1. Реакция протекает по уравнению: 2A + B = 2C и имеет второй порядок по веществу А и первый по веществу B. Рассчитать скорость прямой реакции в тот момент, когда прореагирует 40% вещества B, если начальные концентрации равны: С 0 (А) = 8 моль/л; С 0 (B) = 4 моль/л; k = 0,4.
2. Некоторая реакция при 100 0 С заканчивается за 5 мин. За какое время она закончится при 80 0 С, если температурный коэффициент скорости g равен 3?
3. Скорость реакции 3A + B = C выражается уравнением:
Во сколько раз изменится скорость прямой реакции:
а) при увеличении концентрации вещества A в 2 раза?
б) при одновременном уменьшении концентрации исходных веществ в 2 раза?
Вариант №5
1. Скорость некоторой реакции при повышении температуры с 40 до 70 0 С увеличилась в 8 раз. Определить величину g.
2. Реакция протекает по уравнению: A + 3B = 2C и имеет первый порядок по веществу А и второй по веществу B. Начальные концентрации веществ равны: С 0 (A) = 2 моль/л; С 0 (B) = 6 моль/л; k = 1. Рассчитать начальную скорость прямой реакции и скорость в тот момент, когда концентрация вещества A уменьшилась на 1 моль/л. Как изменится скорость химической реакции?
3. Как изменятся скорости прямой и обратной реакций, протекающих в газовой фазе и подчиняющихся уравнениям:
Вариант №6
1. В закрытом сосуде находится смесь газов, состоящая из 1 моль A и 3 моль B, которая реагирует по уравнению: A + 3B = 2C. Скорость прямой реакции описывается уравнением
Во сколько раз уменьшится скорость прямой реакции после того как прореагирует 0,5 моль A?
2. На сколько градусов надо увеличить температуру, чтобы скорость реакции возросла в 9 раз, если температурный коэффициент скорости g равен 3?
3. Как изменится скорость прямой газофазной реакции: 2A = B, порядок которой оценивается как 0,5, при изотермическом уменьшении давления в системе в 3 раза?
Вариант №7
1. Реакция между веществами А и В протекает по уравнению: A + 2B = C и имеет первый порядок по веществу А и по веществу В. Начальные концентрации реагирующих веществ составили: С 0 (A) = 1,5 моль/л; С 0 (B) = 3 моль/л; k = 0,4. Вычислить скорость химической реакции в начальный момент времени и по истечении некоторого времени, когда прореагирует 75% А.
2. Чему равен температурный коэффициент скорости g, если при увеличении температуры на 30 0 С скорость реакции возрастает в 27 раз?
3. Как изменятся скорости прямой и обратной реакций, протекающих в газовой фазе и подчиняющихся уравнениям:
при изотермическом увеличении давления в 2 раза?
Вариант №8
1. В растворе объемом 1 л, содержащем 1 моль вещества A и 2 моль вещества B, протекает реакция: A + 3B = 2C + D. Прямая реакция имеет первый порядок по веществу А и второй по веществу B. Во сколько раз уменьшится скорость прямой реакции после того, как прореагируют 0,65 моль вещества A?
2. При повышении температуры от -5 до +5 0 С скорость бактериального гидролиза (ферментативный процесс) увеличивается в 4 раза. Найти значение температурного коэффициента скорости реакции g.
3. Во сколько раз следует увеличить концентрацию вещества A в системе 2A (газ) = B (газ) + C (тв.) , чтобы скорость прямой реакции, которая является реакцией второго порядка, увеличилась в 4 раза?
Вариант №9
1. Реакция протекает по уравнению: 2A + B = 2C и имеет второй порядок по веществу А и первый по веществу B. Скорость прямой реакции равна 8 моль/л×с. Рассчитать константу скорости и скорость прямой реакции в тот момент, когда прореагирует 30% вещества B, если начальные концентрации равны: С 0 (A) = 2 моль/л; С 0 (B) = 1 моль/л. Как изменится скорость химической реакции?
2. При увеличении температуры от 10 до 50 0 С скорость реакции увеличилась в 16 раз. Определить температурный коэффициент скорости g.
3. Реакция протекает по уравнению: A + B = C + D + E и имеет первый порядок по веществу А и нулевой по веществу B. Как изменится скорость прямой реакции после разбавления реагирующей смеси в 3 раза?
Вариант №10
1. Реакция протекает по уравнению: A + 2B = AB 2 и имеет первый порядок по веществу А и второй по веществу B. Константа скорости реакции равна 0,01. Рассчитать скорость реакции при начальных концентрациях: С 0 (A) = 0,8 моль/л; С 0 (B) = 0,8 моль/л и скорость реакции к моменту образования 0,2 моль/л вещества АВ 2 .
2. Во сколько раз увеличится скорость химической реакции при повышении температуры от 30 до 60 0 С, если температурный коэффициент скорости g равен 3?
3. Период полувыведения препарата из организма больного (реакция первого порядка) равен 6 часам. Определить, за какое время содержание препарата в организме человека уменьшится в 8 раз.
Вариант №11
1. Реакция протекает по уравнению: A + B = 2C и имеет первый порядок по веществу А и по веществу B. Начальные концентрации веществ равны: С 0 (A) = 0,3 моль/л; С 0 (B) = 0,5 моль/л; k = 0,1. Найти начальную скорость реакции и скорость реакции по истечении некоторого времени, когда концентрация А уменьшится на 0,1 моль/л.
2. При 100 0 С некоторая реакция заканчивается за 16 минут. Принимая температурный коэффициент скорости g равным 2, рассчитать, через сколько минут закончилась бы эта же реакция при 140 0 С?
3. Период полувыведения препарата из организма больного (реакция первого порядка) равен 2 часам. Определить время, за которое из организма будет выведено 99% препарата.
Вариант №12
1. Реакция протекает по уравнению: A + 2B = C и имеет первый порядок по веществу А и второй по веществу B. Начальные концентрации веществ равны: С 0 (A) = 0,9 моль/л; С 0 (B) = 1,5 моль/л; k = 0,6. Найти начальную скорость реакции и скорость по истечении некоторого времени, когда израсходуется 50% вещества A.
2. Чему равен температурный коэффициент скорости химической реакции g, если при увеличении температуры на 30 0 С скорость возрастает в 27 раз?
3. Период полупревращения некоторой реакции первого порядка равен 30 мин. Рассчитать, какая часть от исходного количества останется через 1 час.
Вариант №13
1. Реакция протекает по уравнению: 2A + B = 2C и имеет второй порядок по веществу А и первый по веществу B. Константа скорости реакции равна 5×10 - 2 . Рассчитать скорость реакции при начальных концентрациях С 0 (A) = 0,4 моль/л; С 0 (B) = 0,9 моль/л и скорость реакции к моменту образования 0,1 моль вещества С.
2. При температуре 10 0 С реакция протекает за 80 минут. При какой температуре реакция закончится за 20 минут, если температурный коэффициент скорости gравен 2?
3. В ходе лабораторных исследований было установлено, что за сутки концентрация препарата в организме больного снизилась от 0,1 моль/л до 0,02 моль/л. Вычислить период полуэлиминации препарата, считая, что данная реакция первого порядка.
Вариант №14
1. В закрытом сосуде объемом 1 л находится смесь газов, состоящая из 1 моль газа A и 3 моль газа B, которая реагирует по уравнению: A + 3B = 2C. Прямая реакция имеет первый порядок по веществу А и второй по веществу B. Как изменится скорость прямой реакции после того, как прореагирует 0,5 моль газа A?
2. При увеличении температуры системы от 10 до 50 0 С скорость химической реакции увеличилась в 16 раз. Определить температурный коэффициент скорости реакции g.
3. Во время аварии на Чернобыльской АЭС (1986 г.) произошел выброс радионуклида Cs-137, период полураспада которого составляет 30 лет. Рассчитать, какая часть попавшего в организм радионуклида осталась в настоящее время.
Вариант № 15
1. Реакция протекает по уравнению: A + B = C имеет первый порядок по веществу А и по веществу B. При начальных концентрациях веществ С 0 (A) = 0,6 моль/л; С 0 (B) = 0,8 моль/л скорость реакции равна 0,03 моль/л×с. Определить константу скорости и скорость реакции через некоторое время, когда концентрация вещества A уменьшится на 0,3 моль/л.
2. Скорость реакции при 0 0 С равна 1 моль/л×с. Вычислить скорость этой реакции при 30 0 С, если температурный коэффициент скорости реакции равен 3.
3. Константа скорости гидролиза пестицида при 25 0 С равна 0,32 с - 1 . Исходная концентрация пестицида в пробе составила 2,5 моль/л. Рассчитать, за какое время концентрация пестицида снизится до 0,01 моль/л.
Вариант №16
1. Реакция разложения протекает по уравнению: 2A = 2B + C и имеет второй порядок по веществу А. Константа скорости данной реакции при 200 0 С равна 0,05. Начальная концентрация С(A) = 2 моль/л. Определить скорость реакции при указанной температуре в начальный момент и в тот момент, когда разложится 80% вещества A.
2. Как изменится скорость прямой реакции: 2A (тв) + 3B (газ) = 2С (тв) , которая имеет нулевой порядок по веществу А и третий по веществу B, если давление в системе увеличить в 3 раза?
3. В ходе некоторой реакции первого порядка за 45 мин превращению подвергается 20% исходного количества вещества. Определить, какая часть вещества останется через 1,5 часа.
Вариант №17
1. Взаимодействие газов протекает по уравнению: A + 2B = 2C и имеет первый порядок по веществу А и второй по веществу B. Начальные концентрации газов равны: С 0 (A) = 2 моль/л; С 0 (B) = 4 моль/л; k = 0,02. Вычислить скорость прямой реакции в начальный момент времени и по истечении некоторого времени, когда прореагирует 50%вещества A.
2. При 20 0 С реакция протекает за 2 мин. За какое время будет протекать эта же реакция при 0 0 С, если g = 2?
3. Муравьиная кислота разлагается на оксид углерода (IV) и водород на поверхности золота. Константа скорости этой реакции при 140 0 С равна 5,5×10 - 4 мин –1 , а при 185 0 С составляет 9,2×10 - 3 мин –1 . Определить энергию активации данной реакции.
Вариант №18
1. Реакция протекает по уравнению: 2A + B = 2C и имеет первый порядок по веществу А и по веществу B. Скорость реакции 0,5 моль/л×с. Начальные концентрации веществ равны: С(A) = 6 моль/л; С(B) = 3 моль/л. Определить константу скорости данной реакции и скорость реакции через некоторое время, когда концентрация вещества B уменьшится на 1 моль/л.
2. При 20 0 С реакция протекает за 2 мин. За сколько времени будет протекать эта же реакция при 50 0 С, если g = 2?
3. Константа скорости реакции инверсии тростникового сахара при 25 0 С равна 9,67×10 - 3 мин - 1 , а при 40 0 С составляет 73,4×10 - 3 мин –1 . Определить энергию активации данной реакции в указанном интервале температур.
Необратимые реакции
1. Как изменится скорость реакции 2А + В ® А 2 В, если концентрацию вещества А увеличить в 2 раза, а концентрацию вещества В уменьшить в 2 раза?
2. Во сколько раз следует увеличить концентрацию вещества В 2 в системе 2А 2 (г) + В 2 (г) ® 2А 2 В(г), чтобы при уменьшении концентрации вещества А в 4 раза скорость прямой реакции не изменилась?
3. В системе СО + С1 2 ® СОС1 2 концентрацию СО увеличили от 0,03 до 0,12 моль/л, а концентрацию С1 2 - от 0,02 до 0,06 моль/л. Во сколько раз возросла скорость прямой реакции?
4. Как изменится скорость прямой реакции N 2 (г) + 3H(г) ® 2 NH 3 если а) увеличить давление в системе в 3 раза; б) уменьшить объем в 2 раза; в) увеличить концентрацию N 2 в 4 раза?
5. Во сколько раз следует увеличить давление, чтобы скорость образования NО 2 по реакции 2NО + О 2 ® 2 NО 2 возросла в 1000 раз?
6. Реакция между оксидом углерода (II) и хлором протекает по уравнению СО + С1 2 ® СОС1 2 . Как изменится скорость реакции при увеличении а) концентрации СО в 2 раза; б) концентрации С1 2 в 2 раза; в) концентрации обоих веществ в 2 раза?
7. Реакция проходит в газовой фазе. В реакции участвуют два вещества А и В. Известно, что при увеличении концентрации компонента А в 2 раза скорость возросла в 2 раза, а при увеличении концентрации компонента В в 2 раза скорость увеличилась в 4 раза. Составить уравнение протекающей реакции. Как изменится скорость реакции при увеличении общего давления в 3 раза?
8. Изучается скорость реакции взаимодействия веществ А, В и D. При постоянных концентрациях В и D увеличение концентрации вещества А в 4 раза приводит к возрастанию скорости в 16 раз. Если в 2 раза увеличивается концентрация вещества В при постоянных концентрациях веществ А и D, то скорость возрастает только в 2 раза. При постоянных концентрациях А и В удвоение концентрации вещества D приводит к увеличению скорости в 4 раза. Составить уравнение реакции.
9. Определить скорость химической реакции А(г) + В(г) ® АВ(г), если константа скорости реакции равна 2×10 -1 л×моль -1 × с, а концентрации веществ А и В соответственно равны 0,025 и 0,01 моль/л. Рассчитать скорость реакции при повышении давления в 3 раза.
10. Найти значение константы скорости реакции А + 2В ® АВ 2 , если при концентрациях веществ А и В, соответственно равных 0,1 и 0,05 моль/л,скорость реакции равна 7 × 10 -5 моль/(л×с).
11. В сосуде объемом 2 л смешали газ А количеством вещества 4,5 моль и газ В количеством вещества 3 моль. Газы реагируют в соответствии с уравнением А + В = С. Через 20 секунд в системе образовался газ С количеством вещества 2 моль. Определить среднюю скорость реакции. Какие количества веществ А и В не прореагировали?
12. Реакция между веществами А и В выражается уравнением А + В ® С. Начальные концентрации составляют [A] O = 0,03 моль/л, [B] O = 0,05 моль/л. Константа скорости реакции равна 0,4. Найти начальную скорость реакции и скорость реакции по истечении некоторого времени, когда концентрация образовавшегося вещества С станет равна 0,01 моль/л.
13. Реакция между газообразными веществами А и В выражается уравнением А + В ® С. Начальные концентрации веществ составляют [A] 0 = 0,03 моль/л, [B] 0 = 0,03моль/л. Константа скорости реакции равна 0,1. По истечении некоторго времени концентрация вещества А уменьшилась на 0,015 моль/л. Во сколько раз необходимо увеличить общее давление, чтобы скорость химической реакции стала равной первоначальной скорости?
14. На сколько градусов надо увеличить температуру, чтобы скорость реакции возросла в 27 раз? Температурный коэффициент скорости реакции равен 3.
15. При 20 о С реакция протекает за 2 минуты. За сколько времени будет протекать эта реакция а) при 50 о С, б) при 0 о С? Температурный коэффициент скорости реакции равен 2.
16. При температуре 30 о С реакция протекает за 25 минут, а при 50 о С за 4 минуты. Рассчитать температурный коэффициент скорости реакции.
17. Скорость реакции при 0 о С равна 1 моль/л× с. Вычислить скорость этой реакции при 30 о С, если температурный коэффициент скорости равен 3.
18. При повышении температуры на 50 о С скорость реакции выросла в 32 раза. Вычислить температурный коэффициент скорости химической реакции.
19. Две реакции протекают при 25 о С с одинаковой скоростью. Температурный коэффициент скорости первой реакции равен 2,0, а второй - 2,5. Найти отношение скоростей этих реакций при 95 о С.
20. Чему равна энергия активации реакции, если при повышении температуры от 290 до 300 К скорость реакции увеличивается в 2 раза?
21. Во сколько раз увеличится скорость реакции, протекающей при 298 К, если в результате использования катализатора удалось уменьшить энергию активации на 4 кДж/моль?
22. Каково значение энергии активации реакции, скорость которой при 300 К в 10 раз больше, чем при 280 К.
23. Энергия активации реакции О 3 (г) +NO(г) ® О 2 (г) +NO 2 (г) равна 40 кДж/моль. Во сколько раз изменится скорость реакции при повышении температуры от 27 до 37 о С?
24. Один катализатор снижает энергию активации при 300 К на 20 кДж/моль, а другой -на 40 кДж/моль. Какой катализатор эффективнее? Ответ обосновать расчетом отношения скоростей реакций при использовании того или иного катализатора.
25. При 150 о С некоторая реакция заканчивается за 16 минут. Принимая температурный коэффициент скорости реакции равным 2,5, рассчитать, через какое время закончится эта реакция, если проводить ее а) при 200 о С, б) при 80 о С.
26. При повышении температуры на 10 о С скорость химической реакции вырастает в 2 раза. При 20 о С она равна 0,04 моль/(л×с). Какова будет скорость этой реакции при а) 40 о С, б)0 о С?
27. При 20 о С скорость химической реакции равна 0,04 моль/(л×с). Рассчитать скорость этой реакции при 70 о С, если известно, что энергия активации равна 70 кДж/моль.
28. Вычислить температурный коэффициент реакции g, если константа скорости этой реакции при 120 о С равна 5,88×10 -4 , а при 170 о С - 6,7×10 -2 .
29. Во сколько раз изменится скорость химической реакции при увеличении температуры от 300 К до 400 К, если температурный коэффициент g = 2? Чему равна энергия активации этой реакции?
30. Во сколько раз увеличится скорость химической реакции А + 2В ® С при повышении давления в системе в 4 раза и одновременном повышении температуры на 40 о С. Реагирующие вещества - газы. Температурный коэффициент реакции равен 2.
31. Во сколько раз уменьшится скорость химической реакции 2А(г) + В(г) ® 2С(г) при уменьшении давления всех веществ в системе в 3 раза и одновременном понижении температуры системы на 30 о С? Температурный коэффициент скорости реакции g равен 2.
32. Реакция между газообразными веществами А и В выражается уравнением А + В ® С. Начальные концентрации веществ составляют [A] 0 = 0,05 моль/л и [В] 0 = 0,05 моль/л. По истечении некоторого времени концентрация веществ уменьшилась вдвое. Определить, как необходимо изменить температуру, чтобы скорость реакции стала равной первоначальной скорости, если а) температурный коэффициент реакции равен 2, б) энергия активации равна 70 кДж, температура протекания реакции – 27 о С?
33. Известно, что при повышении температуры от 290 до 300 К скорость химической реакции возрастает в два раза. Рассчитать энергию активации. Как изменится скорость этой реакции при 310 К, если в систему ввести катализатор, понижающий энергию активации этой реакции на 10 кДж/моль?
1. При некоторой температуре равновесие в системе 2NO 2 «2NO+O 2 установилось при концентрациях =0.4 моль/л, =0.2 моль/л, =0.1 моль/л. Найти константу равновесия и исходную концентрацию NO 2 , если исходная концентрация кислорода равна нулю. Какие условия будут способствовать смещению равновесия в сторону образования NO, если прямая реакция эндотермическая?
2. Константа равновесия системы А+В«С+D равна единице. Сколько процентов вещества А подвергнется превращению, если смешать 3 моля вещества А и 5 молей вещества В? Какие условия будут способствовать смещению равновесия в сторону образования В, если прямая реакция экзотермическая?
3. Для системы
СО (Г) +H 2 O (Г) «CO 2(Г) +H 2(Г)
0 = 0 =0.03 моль/л, 0 = 0 =0. Рассчитать константу равновесия, если равновесная концентрация углекислого газа равна 0.01 моль/л. Какие условия будут способствовать смещению равновесия в сторону образования СО, если прямая реакция эндотермическая?
4. Для системы
2NO (Г) +Cl 2(Г) «2NOCl (Г)
0 =0.5 моль/л, 0 =0.2 моль/л, 0 =0 моль/л. Найти константу равновесия, если к моменту его наступления прореагировало 20% оксида азота. Какие условия будут способствовать смещению равновесия в сторону образования NOCl, если прямая реакция экзотермическая?
H 2(Г) + I 2(Г) «2HI (Г) ,
если в сосуд емкостью 10 литров поместить 1 моль йода и 2 моля водорода (К С =50). Какие условия будут способствовать смещению равновесия в сторону образования йода, если прямая реакция экзотермическая?
6. Для системы СО (Г) +H 2 O (Г) «CO 2(Г) +H 2(Г) , 0 = 0 =1 моль/л, 0 = 0 =0. Рассчитать состав равновесной смеси (%об.), если константа равновесия К С =1. Какие условия будут способствовать смещению равновесия в сторону образования водорода, если обратная реакция экзотермическая?
7. В замкнутом сосуде протекает реакция АВ (Г) «А (Г) +В (Г) . Константа равновесия К С =0.04. Найти начальную концентрацию АВ, если равновесная концентрация АВ равна 0.02 моль/л. Какие условия будут способствовать смещению равновесия в сторону образования А, если обратная реакция экзотермическая?
8. В замкнутом сосуде объемом 10 л при температуре 800˚С установилось равновесие CaCO 3(Т) «CaO (Т) +CO 2(Г) . Константа равновесия К Р =300 кПа. Какая масса СаСО 3 разложилась? Какие условия будут способствовать смещению равновесия в сторону образования углекислого газа, если прямая реакция эндотермическая?
9. В замкнутом сосуде при некоторой температуре установилось равновесие Fe (Т) +H 2 O (Г) «FeO (Т) +Н 2(Г) . Определить долю прореагировавшей воды, если К Р =1, а исходное парциальное давление водорода равно нулю. Какие условия будут способствовать смещению равновесия в сторону образования водорода, если обратная реакция экзотермическая?
10. Определить равновесную концентрацию водорода в системе 2HI (Г) «H 2(Г) +I 2(Г) , если исходная концентрация HI составляла 0.05 моль/л, а константа равновесия К С =0.02. Какие условия будут способствовать смещению равновесия в сторону образования НI, если прямая реакция эндотермическая?
Задача 325.
Найти значение константы скорости реакции А + В ⇒ АВ, если при концентрациях веществ А и В, равных соответственно 0,05 и 0,01 моль/л, скорость реакции равна 5 .
10 -5 моль/(л. мин).
Решение:
Скорость
химической реакции выражается уравнением:
v- , k - константа скорости реакции

Ответ : 0,1/моль. мин.
Задача 326.
Во сколько раз изменится скорость реакции 2А + В ⇒ А 2 В, если концентрацию вещества А увеличить в 2 раза, а концентрацию вещества В уменьшить в 2 раза?
Решение:
v- , k - константа скорости реакции , [A] и [B] – концентрации исходных веществ.
Вследствие увеличения концентрации вещества А в 2 раза и уменьшения концентрации вещества В в 2 раза скорость реакции будет выражаться уравнением:
![]()
Сравнивая выражения для v и v" , находим, что скорость реакции увеличилась в 2 раза.
Ответ: увеличилась в 2 раза.
Задача 327.
Во сколько раз следует увеличить концентрацию вещества В 2 в системе
2А 2(г) + В 2(г) = 2А 2 В, чтобы при уменьшении концентрации вещества А в 4 раза скорость прямой реакции не изменилась?
Решение:
Концентрацию вещества А уменьшили в 4 раза. Изменение концентрации вещества В обозначим через x
. Тогда до изменения концентрации вещества А скорость реакции можно выразить уравнением:
![]()
v-, k - константа скорости реакции
, [A] и [B] – концентрации исходных веществ.
После изменения концентрации вещества А 2 скорость реакции будет выражаться уравнением:
![]()
По условию задачи v = v" или

Таким образом, следует увеличить в 16 раз концентрацию вещества В 2 в системе 2А 2(г) + В 2(г) = 2А 2 В, чтобы при уменьшении концентрации вещества А 2 в 4 раза скорость прямой реакции не изменилась.
Ответ : в 16 раз.
Задача 328.
В два сосуда одной и той же вместимости введены: в первый - 1 моль газа А и 2 моля газа В, во второй 2 моля газа А и 1 моль газа В. Температура в обоих сосудах одинакова. Будет ли различаться скорость реакции между газами А и В в этих сосудах, если скорость реакции выражается: а) уравнением б) уравнением
Решение:
а) Если скорость реакции выражается уравнением , то, учитывая концентрации веществ А и В в сосудах, запишем выражения скоростей реакции для сосудов:
Таким образом,
б) Если скорость реакции выражается уравнением , то, учитывая концентрации веществ А и В в сосудах, запишем выражения скоростей реакции для сосудов:
Таким образом, ![]()
Ответ : а) нет, б) да.
Задача 329.
Через некоторое время после начала реакции 3А+В ⇒
2С+D концентрации веществ составляли: [А] = 0,03 моль/л; [В] =0,01 моль/л; [С] = 0,008 моль/л. Каковы исходные концентрации веществ А и В?
Решение:
Для нахождения концентраций веществ А и В учтём, что, согласно уравнению реакции, из 3 молей вещества А и 1 моля вещества В образуется 1 моль вещества С. Поскольку по условию задачи в каждом литре системы образовалось 0,008 молей вещества С, то при этом было израсходовано 0,012 моля вещества А (3/2 .
0,008 = 0.012) и 0,004 моля вещества В (1/2 .
0,008 = 0,004). Таким образом исходные концентрации веществ А и В будут равны:
[A] 0 = 0,03 + 0,012 = 0,042 моль/л;
[B] 0 = 0,01 + 0,004 = 0,014 моль/л.
Ответ: [A] 0 = 0,042 моль/л; [B] 0 = 0,014 моль/л.
Задача 330
.
В системе СО + С1 2 = СОС1 2 концентрацию увеличили от 0,03 до 0,12 моль/л, а концентрацию хлора от 0,02 до 0,06 моль/л. Во сколько раз возросла скорость прямой реакции?
Решение:
До изменения концентрации скорость реакции можно выразить уравнением:
![]()
v- скорость реакции, k - константа скорости реакции, [СО] и – концентрации исходных веществ.
После увеличения концентрации реагирующих веществ скорость реакции равна:
Рассчитаем, во сколько раз возросла скорость реакции:
![]()
Ответ : в 12 раз.
